O(1) 거듭제곱과 바빌로니아 법 알고리즘의 해석
오랜만에 올리는 글인데, 별로 실용성이 없는글이기도하고 시간이 많지 않기때문에 빠르게 설명만 하겠습니다.
우선 이에 대한 이야기는 2년전에 올렸었는데요.
이에 대해서 좀더 보완되고 해석적인 방법을 통해 설명드리려고 왔습니다.
https://mawile.tistory.com/183
제곱, 제곱근 구현하기
우선은 제곱근은 바빌론방법을 사용하였고, 제곱은 dp를 사용했습니다. 사실 제곱을 일반적으로 구현하면, 시간복잡도가 O(n)이 되는데, 저가 사용한 방법은 dp입니다. 시간복잡도는 예를들어서,
mawile.tistory.com
O(1) 거듭제곱 구현 알고리즘
우선 거듭제곱의 구현은 자연로그의 성질을 이용해서 O(1)로 구현이 가능합니다.

다음 a의 b제곱인 수 k가 있다고 가정해봅시다.
우리가 결과적으로 얻기 원하는 수는 k입니다.
따라서 무조건 k에 관하여 풀어야 합니다.
우선 자연로그 성질중에 자연로그와 자연상수를 양변에 곱하면 등식이 되는 성질이 있습니다.

이 성질을 이용해서 다음과 같은 식으로 정리해줍니다.

log의 성질중 하나가 제곱인 수를 밖으로 꺼내올수있었습니다.
따라서 다음과 같은식으로 정리가 가능합니다.
이를 C++코드로 구현하면 다음과 같이 구현할수 있습니다.

#include <iostream>
#include <cmath>
double mypow(double a, double b)
{
return std::exp(b * std::log(a));
}
int main()
{
std::cout << mypow(5.0, 3.0) << std::endl;
}
바빌로니아 법 알고리즘의 해석
다음은 제곱근의 근사값을 얻을 수 있는 알고리즘인 바빌로니아 법 알고리즘에 관하여 알아보겠습니다.
우선 바빌로니아 법 알고리즘은 Newton-Raphson법을 통해 값을 도출해낼 수 있습니다.
우선 우리가 구해야 할 수는 아래와 같이 어떠한 수 S를 제곱근한 값인 x를 구하는것입니다.
예를들어서 S가 2라면 루트 2 이므로 x는 1.414...가 된다는것을 알수있으실겁니다.

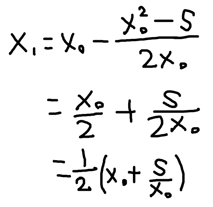
그다음 우리가 알아봐야 할 식은 뉴턴-랩슨법의 전개식입니다.
아래 식은 그래프를 보시면 아시겠지만,
x0에서의 y값 fx0을 가진다면 다음 x1의 값은 x0에서의 기울기분의 fx0값을 뺀 식이 됩니다.


그러면 우리가 구해야할 식을 방정식으로 고친후,

뉴턴-랩슨 전개식에 대입하면 다음과 같이 정리가 가능합니다.

따라서 이를 C++ 코드로 구현하면 다음과 같이 만들 수 있습니다.

#include <iostream>
double mysqrt(double S, double epsilon = 10)
{
double x = 1;
for(int i = 0; i < epsilon; ++i)
{
x = 0.5 * (x + (S / x));
}
return x;
}
int main()
{
std::cout << mysqrt(2.0) << std::endl;
}
@ 추가해석
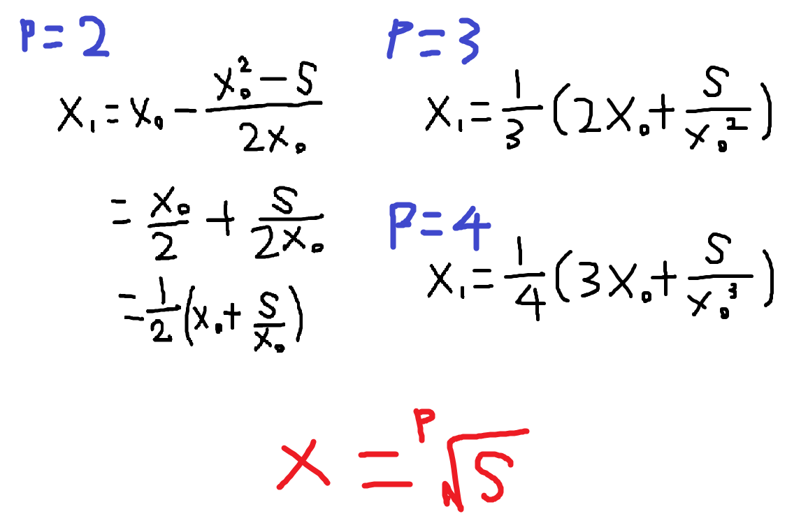
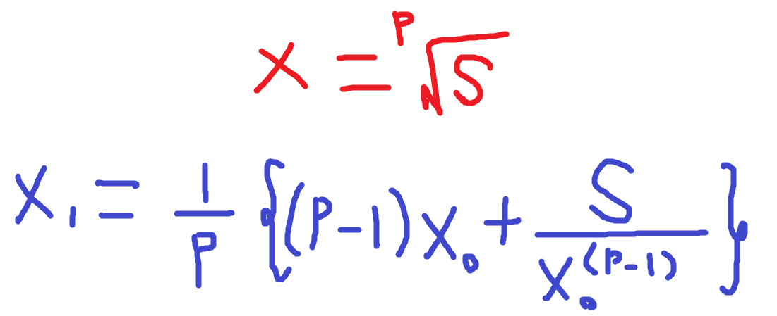
여기서 추가로 일반적인 제곱근이 아닌 n제곱근을 구하려면 어떻게 해야하는지 궁금해서 규칙을 찾아봤습니다.

규칙이 보이시나요?
아래와 같은 규칙을 가집니다.
당연히 제곱근의 성질에 의해 S >= 0여야 하며, 분수성질때문에 p > 0 여야합니다.

C++코드로 구현하면 다음처럼 짤수 있겠습니다.
[최적화 팁]
mysqrt식의 p의 역수값을 변수에 저장한다음
반복문에서 매번 나누지말고 저장해놓은값을 갔다쓰면 조금더 빠를것입니다.

#include <iostream>
#include <cmath>
double mypow(double a, double b)
{
return std::exp(b * std::log(a));
}
double mysqrt(double S, double p, double epsilon = 15)
{
double x = 1;
const double p_1 = p - 1;
for(int i = 0; i < epsilon; ++i)
{
x = (1 / p) * (p_1 * x + (S / mypow(x, p_1)));
}
return x;
}
int main()
{
std::cout << mysqrt(49.0, 2.0) << std::endl;
}
마무리
다른공부하러가봐야해서 후다닥썼는데 오랜만에 쓰기도했고, 뭔가 글실력이 줄어든것같아서 아쉽지만 오늘은 여기에서 마무리하겠습니다.
다음 포스팅은 언제가 될지 모르겠네요.
음.. 내년2월달되면 본격적으로 프로그래밍쪽 재활을 시작할텐데, 제가 생각하기에 컴퓨터그래픽스는 좀 더 깔끔하게 지식을 다듬고 글을 쓸예정이고, 아마 수학이랑 자연과학쪽분야로 글을 쓰는시도가 생기지 않을까 예상해봅니다.